CURSO: CIRCUITOS ELÉCTRICOS
PRESENTACIÓN
En esta unidad, se estudiará la inductancia de una bobina o inductor, el circuito serie inductivo con ejemplos ilustrativos. Para el aprendizaje se tendrá la información teórica con algunos videos de soporte de Youtube, la simulación de circuitos usando el software Solve Elec que es muy sencillo libre y gratuito (open course) como laboratorio virtual y el laboratorio práctico para el desarrollo de los circuitos en protoboard. Terminada la unidad, el estudiante debe realizar la evaluación correspondiente.
UNIDAD 5: CIRCUITO INDUCTIVO
La bobina es un elemento eléctrico que tiene como fin almacenar en su interior un campo magnético al pasar una corriente por el. Está formado por un alambre enrollado conocidas como vueltas o espiras. Se mide por su inductancia (L) y este valor depende de la forma geométrica, esto es, de su longitud y de su diámetro. su sección transversal puede ser cilíndrica o rectangular. En su interior puede tener un núcleo generalmente de hierro laminado con el fin de darle mayor valor a su inductancia.
La unidad de medida de la inductancia es el henrio (H), pero tiene submúltiplos:
1 milihenrio = 1 mH = 10^-3 H = 0.001 H
1 microhenrio = 1 uH = 10^-6 H = 0.001 mH
1 H = 1000 mH 1 mH = 1000 uH

La oposición de una bobina al paso de la corriente alterna se denomina reactancia inductiva (XL) y su valor depende de la frecuencia de la señal y del valor de la inductancia. Si la frecuencia está en hertz y la inductancia en henrios su valor se da en ohmios.

Una de la aplicaciones universales de las bobinas es el transformador que está compuesto por dos bobinas una de entrada y otra de salida. A la bobina de entrada se le denomina primario y a la de salida secundario. Estas dos bobinas vienen enlazadas por un núcleo generalmente de hierro laminado con el fin de que haya buena circulación del campo magnético.

Si se tiene un transformador ideal, la potencia de entrada debe ser igual a la potencia de salida,
P1 = v1 * I1 = v2 * I2 = P2
El voltaje en el secundario depende de la relación de las espiras o vueltas:

v1 es el voltaje del primario
n1 número de espiras del primario
v2 es el voltaje del secundario
n2 número de espiras del secundario
CIRCUITO RESISTIVO - INDUCTIVO
Se estudiará a continuación un circuito serie RL, sus ecuaciones, señales y la diferencia de fase en tre voltae y corriente.

E es el voltaje de la fuente de corriente alterna, VR es el voltaje en la resistencia y VL es el voltaje en la inductancia de la bobina.
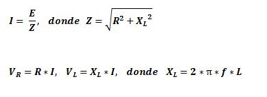
La corriente que circula por el circuito depende del valor de la resistencia y de la reactancia inductiva de la bobina, que en su conjunto se llama impedancia y es igual a:

Las señales de corriente y voltaje no están en fase como se observa en las siguientes figuras:
a) Fase entre voltaje de la fuente y la corriente: La corriente tiene un desfase negativo

Fase entre la corriente y el voltaje en la resistencia: Las señales i(t) y vR están en fase

Fase entre la corriente y el voltaje en la inductancia: El voltaje vL está adelantado a la i(t)

El diagrama fasorial es el siguiente:

EJEMPLO:
Un circuito RL tiene como alimentación un voltaje de fuente de CA de Erms = 9.0V a una frecuencia de 100 Hz, R= 100 ohm y inductancia L= 500 mH, Hallar (a) La impedancia (b) La corriente (c) Los voltajes y (d) Las fases
Solución:
(a) Impedancia
XL = 2 * pi * f * L = 2 * pi * 100 * 500Exp 3 +/- = 314.1 ohm
Z = (R^2 + XL^2)^(0.5) = 100 x^2 + 314.1 x^2 = x^y 0.5 = 329.6 ohm
(b) Corriente
I = E / Z = 9.0 / 329.6 = 0.0273 A = 0.0273 * 1000 mA = 27.3 mA
(c) Voltajes
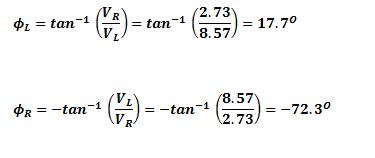
VR = R * I = 100 * 0.0273 = 2.73 V
VL = XL * I = 314.1 * 0.0273 = 8.57 V
(d) Fases
De la figura fasorial:
