PROGRAMACIÓN CON MATLAB
1. MATEMÁTICAS 2. GRAFICACIÓN 3. SISTEMAS 4. SIMULINK 5. GUIDE
La integración de las Tecnologías de Información y comunicación (TIC) en las asignaturas de un currículo puede realizarse de varias formas. Una de ellas es el uso de las simulaciones. Estas se han convertido en una excelente herramienta para mejorar la compresión y el aprendizaje en áreas como las matemáticas, física, estadística, finanzas, etc. La simulación permite probar, analizar y descubrir cómo funciona o cómo se comporta un fenómeno.
Matlab es un programa interactivo de cálculo numérico y de visualización de datos basado en software de matrices, en un entorno de desarrollo totalmente integrado y orientado a proyectos que requieren un elevado cálculo numérico y visualización gráfica.
En las universidades Matlab se ha convertido en una herramienta básica tanto para estudiantes, como para docentes e investigadores por su amplio abanico de programas especializados llamados Toolboxes que cubren casi todas las áreas del conocimiento. Dispone de un programa SIMULINK que es un entorno gráfico interactivo con el que se puede analizar, modelar y simular sistemas.
1. MATEMÁTICAS CON MATLAB
En esta unidad se estudiará cómo Matlab se aplica a la representación y cálculo de las diferentes funciones, vectores, matrices, límites, derivadas e integrales utilizadas rutinariamente en las ciencias básica como lo es en las matemáticas.
VARIABLES Y FUNCIONES
OPERADORES
Una variable se crea por asignación. Los operadores básicos son:

Ejemplo:

En la ventana de comandos de Matlab, se debe ejecutar:
>> x = 3
>> y1 = x + 6
>> y2 = x ^5 / 4
>> y3 = 2*3^5 + (5 - 3)* 8
VECTORES
Un vector fila de n elementos se puede representar de dos formas:
V = [v1,v2,v3,…..vn] % con coma entre ellos, o
V = [v1 v2 v3 …..vn] % con espacios entre ellos
Ejemplo:
Vector = [1 1.2 3.4 4/5 2.25]
Un vector se puede representar sin necesidad de explicitar todos los elementos,
así:

Ejemplos:
>>Vector1 = [5:5:30] % elementos de 5 a 30 en pasos de 5
Matlab responde:
Vector1 = 5 10 15 20 25 30
>>Vector2 = [5:10] % elementos de 5 a 10 en pasos de 1 (por defecto)
Matlab responde:
Vector2 = 5 6 7 8 9 10
Un vector columna se representa con sus elementos separados por punto y coma.
Ejemplo:
>>Vector = [2; 3; 2.5; 4.5; 8]
Matlab responde:
Vector =
2
3
2.5
4.5
8
MATRICES
Las matrices se representan en Matlab introduciendo entre corchetes los vectores
fila separados por punto y coma.
Ejemplo:
>>A = [1 3 5; 4 7 9; 4 2 10]
Matlab responde:
A =
1 3 5
4 7 9
4 2 10
Algunas definiciones de variables matriciales:

Ejemplos:
>> A(2,3)
ans =
9
>> B = A'
B =
1 4 4
3 7 2
5 9 10
>> eye(3)
ans =
1 0 0
0 1 0
0 0 1
>> C=B(:,2:3)
C =
4 4
7 2
9 10
>> D = B(1:2,:)
D =
1 4 4
3 7 2
>> size(D)
ans =
2 3
quiere decir 2 filas 3 columnas
FUNCIONES
A continuación se describen los comandos Matlab para la definción de la funciones trigonométricas, hiperbólicas, exponenciales y logarítmicas.

Ejemplos:
Calcular las siguientes expresiones en Matlab

d) Para el número complejo z = 4.5 + j 5.6 hallar el módulo y argumento
>> z = 4.5 + 5.6i
>> mag = abs(z) % módulo
>> ang = angle(z) % argumento
>> ang = ang*180/pi % argumento en grados
>> Parte_Imag=imag(z)
>> Parte_Real=real(z)
>> Conjugado=conj(z)
Ejemplo:
Para x = 15º, calcular

Matlab:
>> x=15;
>> xR=x*180/pi;
>> y=2.8*tan(sqrt((xR+1)*(3*xR-2)))/(2.3*sin(cos(2*xR-1.2)))
y =
0.4536
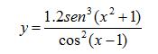
Ejemplo:
Para x =45º, calcular

Matlab:
>> x=45;
>> xR=x*180/pi;
>> y=1.2*sin(xR^2+1)^3/cos(xR-1)^2
y =
-9.3274
POLINOMIOS
Los comandos usados por Matlab para trabajar con polinomios son:

Ejemplos:


