CURSO: SEMICONDUCTORES
UNIDAD 1: EL DIODO
Los dispositivos de estado sólido, tales como los diodos de juntura y los transistores se fabrican de materiales semiconductores. Estos materiales tienen propiedades eléctricas que se localizan entre la de los conductores y la de los aislantes. Los principales semiconductores utilizados son el germanio y el silicio, que adquieren la forma cristalina al encontrarse puros y tienen cuatro electrones de valencia (órbita externa).
Para lograr un dispositivo semiconductor útil, se le agrega al cristal semiconductor puro una pequeña cantidad de otro elemento denominado impureza; a ésta técnica se le llama “dopado”. Los átomos de la impureza tienen 5 o 3 electrones de valencia.
Al dopar el cristal, se forman uniones covalentes entre los impuros y los puros en los cuales sobrará un electrón de valencia (átomos de 5 electrones) o un hueco (átomos de 3 electrones) en la vecindad del átomo de impureza. Las impurezas que contribuyen con electrones se llaman “donadoras” y al cristal así formado se le denomina tipo N. Los que contribuyen con huecos se les llama “aceptadores” y al cristal formado se le denomina tipo P.
Si un material tipo P y otro de tipo N se juntan mecánicamente para formar un único cristal, esa juntura se llama juntura PN o diodo de juntura.
Durante la difusión, se produce un campo eléctrico debido a los iones negativos y positivos recientemente creados en las caras opuestas de los materiales. En esta zona se crea una diferencia de potencial que se llama “barrera de potencial” y que es igual a 0,3 voltios para el germanio y 0,7 V para el silicio a temperatura ambiente.
Al aplicarse un voltaje que anule la zona de transición, se polariza directamente el diodo (positivo a P y negativo a N) se crean dos corrientes, una de electrones y otra de huecos mayoritarios creando una corriente directa If, como se indica en la figura. Al polarizarse inversamente se aumenta la zona de transición y solo fluye una pequeña corriente llamada corriente inversa Ir debido a portadores minoritarios. La región P se conoce como ánado y la región N como cátodo.

CURVAS CARACTERÍSTICAS
La corriente de saturación o fuga crece abruptamente con la temperatura. Aproximadamente dobla su magnitud cada 10ºC de aumento de la temperatura. Para los diodos de germanio esta proporción aumenta, de ahí que para altas temperaturas se prefiera el diodo de silicio. Ver la siguiente figura:

Nótese en la figura que la conducción del diodo de germanio comienza cuando se supera el voltaje VF=0.3V y para el diodo de silicio con VF=0.7V. Para consideraciones prácticas la corriente de conducción (polarización directa) es del orden de los miliamperios y la corriente inversa es del orden de los microamperios (no conducción), esto quiere de cir que la resistencia de un diodo en directo Rf es muy pequeña y la resistencia en inverso es muy alta Rr.
SÍMBOLO Y REPRESENTACIÓN
El diodo en directo se representa como un resistencia de valor Rf en serie con el voltaje de conducción Vf (0.3V si es de germanio y 0.7V si es de silicio) y el diodo en inverso con una resistencia de valor Rr.

EJEMPLO:
En el circuito hallar la caída de voltaje en el diodo (silicio) del circuito de la figura, cuando:
a) E = 5V
b) E = - 20V
siendo Rf =10Ω, Vf=0,6V; Rf =10kΩ

Solución:
Primero realizar los circuitos equivalentes:

En directo:
En este circuito las fuentes se restan porque la corriente sale por positivo en la fuente de 5V y sale por negativo en la fuente de 0.6V. Las dos resistencias están en serie, luego se suman. Aplicando Ley de Ohm:
I = (5-0,6) / (100+10) = 4.4 / 110 = 0.040 A , o también, I = 0.040*1000 = 40 mA
Vo = 0,6 + 0.040 x 10 Ω = 0,6 + 0,4 = 1,0 V
En inverso:
Las resistencias están en serie, luego se suman: R =100 +10K = 0.1K + 10K = 10.1K. Por Ley de Ohm:
I = 20 / 10.1K = 1.98 mA , entonces, Vo= (- 1.98 mA) * 10K = -19,8V
UNIDAD 2: APLICACIONES DEL DIODO
RECTIFICACIÓN SIMPLE
Rectificación, es el proceso de convertir los voltajes o tensiones y corrientes alternas en corrientes continuas pulsatorias. La rectificación puede ser simple o puede ser completa. En la rectificación simple, solamente se transfiere al circuito de salida la mitad de la señal, ya sea la positiva o la negativa. En el circuito de la figura, tenemos rectificación positiva.

Cuando el voltaje de entrada Vi es superior al voltaje del diodo Vf el diodo conduce y por lo tanto en la salida aparece el voltaje de entrada, en este caso, la alternancia positiva. Cuando el voltaje de entrada es negativo, esto es en la alternancia negativa, el diodo no conduce y se comporta como un circuito abierto, por lo tanto el voltaje en la salida es cero, o sea, se rectifica.
Voltaje de corriente continua: El voltaje de CC de una señal es el valor promedio de la amplitud. Para el caso de la señal de entrada Vi, la parte positiva y la negativa son iguales, entonces el valor de CC es cero Vicc = 0. Para la señal de salida rectificada este valor ya no es cero. Matemáticamente se ha demostrado que su valor es igual a:
Vocc = Vomax / pi
El voltaje de CA rms es igual a:
Vorms = Vomax / 2
Ejemplo:
Si el rectificador simple se le aplica una señal Vi = 10 senwt y los parámetros del diodo son: Vf = 0, Rf = 50Ω; RL= 1K; Rr = ∞, determinar: El valor de corriente continua y el valor rms alterno de la salida.
En conducción:

Iomax = (Vimax - Vf) / (Rf+RL) = (10-0) / (1k+50 Ω) = 9,5mA
Vomax = Iomax * RL= 9,5V
Voltaje de CC:
Vocc = Vomax / pi = 9.5 / 3.14 = 3.0 V
Voltaje de CA:
Vorms = Vomax / 2 = 9.5 / 2 = 4.75 V

En inverso si Rr es infinito, entonces la corriente es cero y por lo tanto su voltaje.
RECTIFICACIÓN COMPLETA
Básicamente consiste en dos rectificadores de media onda y una resistencia de carga común. Como v1 y v2 están desfasadas 180º, cada diodo conducirá durante medios ciclos alternos.

D1 conduce en la alternancia positiva y D2 no conduce, en la alternancia negativa, D1 no conduce y D2 conduce.
V1 = Vmax sen (wt), V2 = - Vmax sen (wt)
Imax = (Vmax – Vf) / (Rf+RL)
Vomax = Imax RL
Vocc = 2 Vomax / π
Vorms = Vomax / 1.41
Nótese que el voltaje de salida de corriente continua es ahora el doble del rectificador sencillo.
Ejemplo:
Comparar los valores de voltaje del rectificador simple del ejemplo anterior con la misma señal de entrada.
V1 = 10 sen wt V2 = - 10 sen wt, Vmax = 10
Imax = (Vmax - Vf) / (Rf + R) = (10 - 0) / (50 + 1K) = 10 / 1050 = 9.5 e-3 = 9.5 mA
Vomax = Imax * R = 9.5 mA * 1K = 9.5 V
Vocc = 2* Vomax / pi = 2*9.5/3.14 = 6.0 V
Vorms = Vomax / 1.41 = 6.7 V
RECTIFICADOR EN PUENTE
Es otro rectificador de onda completa que usa cuatro diodos y un transformador sin punto medio, como el de la siguiente figura.

En la alternancia positiva conducen los diodos D2 yD3 y en la alternancia negativa, conducen D4 y D1.
si Vi = Vmax sen wt, entonces,
Imax = (Vmax - 2Vf) / (2Rf - R) porque ahora conducen dos diodos. Vomax = Imax * R
FILTRACIÓN EN RECTIFICACIÓN SIMPLE
Es el proceso de reducir las componentes alternas que tienen la corriente continua pulsatoria de un rectificador. Los filtros más utilizados son los filtros capacitivos, como el de la figura, en donde se coloca un condensador polarizado en paralelo con la resistencia de carga. En la filtración el voltaje de corriente continua aumenta más.

Entre 0 y T/2 el diodo conduce, el condensador se carga hasta un valor Vomax. Entre T/2 y T (alternancia negativa) el diodo no conduce, entonces el condensador se descarga lentamente dependiendo del valor de la R y del C ( al producto RC se le denomina constante de tiempo) como se observa en la figura anterior.
Cuando el diodo no conduce, es como si no existiera el diodo porque hay circuito abierto, solo queda conectada la resistencia al condensador y por la tanto las corrientes son iguales.
Ic = Iocc (corriente de salida de cc)
El condensador se descarga un valor Va (ver figura) cuyo valor es igual a:
Va = Iocc / (f * C) y
el valor del voltaje de salida de cc es igual a:
Vocc = Vomax - Va/2 y además Vocc = Iocc*R
reemplazando, Vomax - Iocc / (2*f*c) = Iocc*R
factorizando, Vomax = Iocc(R+ 1/(2*f*C))
EJEMPLO:
Si Vi = 12 sen wt, donde la frecuencia f = 60 Hz, R = 10K, C = 20 uF, entonces,
Vomax = 12 V
Vomax = Iocc (10K+1/(2*60*20e-6)) = Iocc (10000+416) = 10416 Iocc
Iocc = 12 / 10416 =1.15e-3 = 1.15 mA
Vocc = Iocc*R = 1.15 mA*10 K = 11.5V
En estos ejemplos se supone que R es mucho mayor que la reactancia capacitiva, para que sean válidas las fórmulas. Comprobemos:
R = 10K = 10.000 ohm
Xc = 1 / (2*pi*f*C) = 1 / (2 *3.14*60*20e-6) = 132.7 ohm que es mucho menor al valor de la resistencia.
FILTRACIÓN EN RECTIFICACIÓN COMPLETA

El valor de Va se reduce a la mitad, esto es:
Va = Iocc / (2 * f * C)
REGULACIÓN
La salida de un filtro no es igual para varios valores de resistencia de carga y esto se debe a que su resistencia de salida no es cero. La regulación de voltaje se define de la siguiente manera:

El elemento electrónico semiconductor que nos permite regular el voltaje se denomina ”diodo zéner”
DIODO ZENER
Es un diodo que funciona en forma inversa y en donde el voltaje permanece casi constante al variar su corriente.
En la figura se tiene la curva característica del diodo Zener. En ella se observa que existe para cualquier corriente un voltaje aproximadamente constante. Este voltaje se llama “voltaje zener”. en la figura Vz = 40V

Un sencillo regulador de voltaje con diodo Zener consiste de una resistencia en serie Rs con el Zener y esta serie en paralelo con la resistencia de carga R. El voltaje Vi es la salida de corriente directa del rectificador con filtro. La función del regulador es mantener Vo (voltaje de salida) casi constante con cambios en Vi (voltaje de entrada) o Io (corriente de salida). La región de operación el diodo Zener (circuito equivalente) consiste de una combinación en serie de una fuente de voltaje constante Vz y una pequeña resistencia Rz. El siguiente ejemplo ilustra la operación.
Ejemplo:
Una carga consume una corriente que varía de 10 a 100mA a un voltaje nominal de 10V. El regulador consiste de Rs =100Ω y un diodo Zener representado por Vz=10V , Iz = 10 mA y Rz = 10Ω.
(a) Para Io= 10mA, determinar la variación en Vo que corresponda al 10% de la variación de Vi.

Vo = Vz + Iz Rz = 10 + (10 mA)(10) = 10 + 100 mV = 10.1 V
Vi = Vo + Rs Is, donde Is = Iz + Io
Is = 10 +10 = 20 mA
Vi = 10.1 + 100(20 mA) = 10.1 +2 = 12.1
Si Vi varía un 10% entonces, la variación es de 12.1 *10% = 12.1 *0.10 = 1.21 V
El Vi aumentaría a Vi = 12.1 + 1.21 = 13.3 V
Si Vi aumenta y se mantiene constante Io entonces debe variar If del zener. Se trabajará con resistencias
en Kohm, y corrientes en mA, voltajes en voltios por simplificación. Rf =10 ohm = 0.01 K, Rs =100 ohm = 0.1 K
Vo = Vf +Iz Rz = 10 + 0.01* Iz, despejando Iz
Iz = (Vo-10) / (0.01) = 100Vo - 1000
Is = Iz + Io = 100Vo - 1000 + 10 = 100Vo - 990
Vi = Vo + Rs Is = Vo + 0.1(100Vo - 990) = Vo +10Vo - 99 = 11Vo - 9
9
Para Vi constante, determinar la variación del voltaje de salida Vo que corresponda a una
variación en la carga de corriente de salida de 10 mA a 1mA.
Vo = Vf +Iz Rz = 10 + 0.01* Iz, despejando Iz
Iz = (Vo-10) / (0.01) = 100Vo - 1000
Is = Iz + Io = 100Vo - 1000 + 1 = 100Vo - 999
Vi = Vo + Rs Is = Vo + 0.1(100Vo - 999) = Vo +10Vo - 99.9 = 11Vo - 9
9.9
UNIDAD 3: EL TRANSISTOR
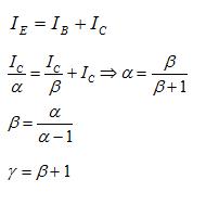
Está formado por dos junturas PN tal como se muestra en la figura. Una juntura está polarizada directamente y la otra está polarizada inversamente. Tiene tres terminales: emisor, base y colector. La juntura polarizada en directo es EB y la polarizada en inverso es la juntura BC. El transistor puede ser PNP o NPN. En cualquiera de los dos casos, la base es muy delgada con el fin de que los portadores mayoritarios del emisor no se recombinen con los de la base en forma significativa y entonces así pasar la mayoría al colector. La pequeña recombinación que existe en la base forma la corriente de base IB.
Ic = corriente de colector. IE = Corriente
de emisor IB = Corriente de base

En cualquiera de los casos NPN o PNP se tiene que:

CONFIGURACIONES
Existen tres tipos de configuraciones como se indica en la figura: Base común (entrada por emisor y salida por colector), emisor común (entrada por base y salida por colector) y colector común (entrada por base y salida por emisor)

Para cualquier configuración, se tiene:

Ejemplo:
Un transistor tiene una ganancia de corriente alfa α =0,98. Calcular la corriente de
base IB para una corriente de emisor de 2 mA y también
calcular las ganancias de corriente beta y gamma β y γ.

Las “curvas características estáticas” definen las relaciones de régimen permanente entre sus salidas y sus entradas de voltaje y corriente. Constituyen la base para comprender la operación del transistor. Cada configuración, base común, emisor común y colector común tiene sus características de entrada y salida diferentes. A continuación se dan estas curvas características de un transistor en la configuración emisor común.

VBE = VOLTAJE BASE-EMISOR
VCE = VOLTAJE COLECTOR-EMISOR
IB = CORRIENTE DE BASE EN uA
IC = CORRIENTE DE COLECTOR EN mA
Con estas curvas se define un punto de operación del transistor, por ejemplo, para la configuración emisor común si
IB = 20 uA, VCE= 20V se tiene que IC ≈ 5,0mA (punto P1) y el voltaje base-emisor es VBE= 0,6V (punto P2).
PUNTO DE OPERACIÓN
Línea de carga es la que resulta al graficar sobre curvas características la ecuación dada por el circuito de salida. Para el caso de emisor común, la ecuación de la recta de carga es:
VCC= VCE + ICRL
si IC=0 entonces VCE= VCC
si VCE=0 entonces IC= VCC/RL
Las dos expresiones anteriores dan los puntos de corte de la recta de carga en los ejes. El punto de operación es el corte de la línea de carga con la corriente de base.
EJEMPLO:
Para el circuito transistorizado de la figura se dan las curvas características del transistor, el cual se ha polarizado con VCC = 30 V y se ha colocado una resistencia de carga RL de 5 K.

Si VCC= 30V, RL= 5K
30 = VCE + 5 IC ; cuando IC= 0 entonces VCE= 30 V
cuando VCE=0 entonces IC= 30/5 = 6 mA.
El punto de operación o de trabajo es el punto de corte entre la línea de carga y la corriente de base que se seleccione.
para IB = 15 uA, se tiene un punto de operación de VCE = 12V y IC = 3.6 mA (punto P1)
Para el punto P1:
La ganancia de corriente beta = hFE = IC / IB = 3.6 mA / 15 uA = 3600 / 15 = 240
El voltaje en la carga en RL: VL = VCC - VCE = 30 - 12 = 18V también se puede calcular por Ley de Ohm:
VL = IC * RL = 3.6 mA * 5 K = 18V
La potencia disipada en el colector es igual a:
P = VCE * IC = 12V * 3.6 mA = 43.2 mW
CIRCUITO EQUIVALENTE HÍBRIDO π
Es un circuito equivalente de una configuración emisor-común utilizado para el estudios de señales del circuito transistorizado en corriente alterna.

Las definiciones de los parámetros h son las siguientes:
hie: Resistencia de entrada (ohm) = ∆VBE/∆IB cuando VCE = cte
hfe: Ganancia de corriente = ∆IC/∆IB cuando VCE= cte
hre: ganancia de voltaje realimentada = ∆VBE/∆VCE cuando IB= cte
hoe: conductancia de salida = ∆IC/∆VCE cuando IB = cte.
Por ejemplo, el transistor NPN BC547 tiene como parámeytros h:
hie=2700 ohms, hre = 1.5E-4, hfe = 290, hoe = 18E-6 mhos


Ejemplo
Encontrar los parámetros del híbrido π del transistor BC547 si : hie = 2700Ω; hre=1.5x10-4 ; hfe = 290 ; hoe= 18μ y además rbb’=250Ω.

UNIDAD 4: POLARIZACIÓN
Hay varias formas de polarizar un transistor, esto es, obtener su punto de operación adecuado. Se tiene la polarización fija, polarización con realimentación de emisor, polarización con realimentación de colector y la autopolarización.
POLARIZACIÓN FIJA
La polarización se realiza como se indica en la figura.

Ecuaciones:
Para encontrar el valor de RC VCC - VCE = RC * IC (1)
Para encontrar el valor de RB VCC - VBE = RB * IB (2)
Generalmente se escoge como polarización VCE = VCC / 2
EJEMPLO
Los parámetros del transistor BC547: ICmax = 100mA, VCEmax = 50V, hFE = 290, fT = 250 Mhz, VBE = 0.7V
Si VCC = 12V, entonces VCE = 6V
si escogemos una corriente de colector de IC=50 mA, tenemos:
de la ecuación (1): RC = (VCC - VCE) / IC = (12 - 6) / 50 = 0.3 K = 300 ohm RC = 300 ohm
IB = IC / hFE = 50 / 290 = 0.17 mA
de la ecuación (2): RB = (VCC - VBE) / IB = (12 - 0.7) / 0.17 = 66 K, RB = 66K
POLARIZACIÓN CON REALIMENTACIÓN DE EMISOR
Es una polarización que da una excelente estabilidad del punto de operación al cambiar la temperatura. El factor de estabilidad se nota como S y es aproximadamente igual a:
S = RC / RE, generalmente se escoge un valor de estabilidad térmica S = 10

Ecuaciones:
VCC - VCE = IC* RC + IC* RE (1)
VCC - (VBE + IC*RE) = IB*RB (2)
EJEMPLO
Si VCC = 12V, VCE = 6V, IC = 50mA
Ecuación 1: 12 - 6 = IC*(RC+RE)
para S = 10, RC = 10 RE, RE = 0.1 RC
6 = 50*(RC + 0.1 RC) = 50*1.1RC
6 = 55RC, despejando RC = 6 / 55 = 109 ohm se escoge RC = 110 ohm, RE = 11 ohm
hFE = 290,
IB = IC / hFE = 50 / 290 = 0.17 mA
Ecuación 2:
VCC - (VBE +IC*RE) = IB*RB
12 - (0.7 + 50*11e-3) = 0.17 RB
12 - 1.25 = 0.17 RB, despejando RB
RB = (12 - 1.25) / 0.17 = 63 K, RB = 63K
POLARIZACIÓN POR REALIMENTACIÓN POR COLECTOR

Ecuación 1: VCC - VCE = IC * RC
Ecuación 2: VCE - VBE = IB * RB
EJEMPLO:
Para VCC = 12V , punto de polarización VEC = 6V, IC = 50 mA, hFE = 290, IB = 0.17 mA
Ecuación 1: 12 - 6 = 50 * RC, despejando, RC = 6 / 50 = 120 ohm, RC = 120 ohm
Ecuación 2: 6 - 0.7 = 0.17 * RB, despejando, RB = 5.3 / 0.17 = 31K, RB = 31K
POLARIZACIÓN POR DIVISIÓN DE VOLTAJE O AUTOPOLARIZACIÓN
Es la polarización más utilizada para fijar la corriente de base requerida, donde el voltaje de base corresponde a la división de voltaje definida por dos resistencias RB1 y RB2, como se indica en la figura.

La corriente I que pasa por las resistencias RB1 y RB2 se supone que sea por lo menos 10 veces mayor a la corriente de base IB, con el fin de que I * RB2 = VB
Ecuación 1: VB = VBE + IC*RE
Ecuación 2: RB2 = VB / 10 IB,
RB1 = (VCC - VB) / 10 IB
EJEMPLO
Tomando valores del ejemplo de polarización con RE: RC = 110 ohm, RE = 11 ohm, IC = 50 mA, IB = 0.17 mA
Ecuación 1: VB = 0.7 + 50 * 11E-3 = 1.25
Ecaución 2: RB2 = 1.25 / (10*0.17) = 735 ohm
RB1 = (12 - 1.25) / (10*0.17) = 6.3K
UNIDAD 5: FUENTE DE VOLTAJE
En los circuitos que se han implementado en las unidades anteriores han utilizado como fuente de voltaje de corriente continua una batería que fácilmente se puede descargar con el tiempo. El uso de fuentes de alimentación conectadas directamente a la red de 110V de corriente alterna es lo as indicado. en esta unidad se presentarán dos tipos de fuentes, una con elementos discretos y otra con circuito integrado.
Las fuentes de alimentación tienen las siguientes características:
- Voltaje de entrada
- Voltaje nominal de salida a una corriente determinada
- Corriente nominal de salida
- Regulación, que es la variación del voltaje de salida en porcentaje
R (%) = (Vo sin carga - Vo con carga) / (Vo con carga)
- Factor de estabilidad, que es la variación del voltaje de salida respecto a la variación del voltaje de entrada
DIAGRAMA EN BLOQUE

Vcomp = voltaje de compensación
Vcomp = Vi - Vo
Cualquier variación de Vi es compensado con Vcomp para que Vo permanezca constante.
FUENTE REGULADA DISCRETA
En el siguiente circuito el transistor NPN hace de compensador y el diodo zener de regulador.

Ecuaciónes:
Vo = Vz - VBE
VCE = Vi - Vo
Ir = IB + Iz
Vi - Vz = Ir * R
EJEMPLO:
Suponga que Vo = 12V y se tiene una variación del Vi del 10% y una corriente de carga máxima de 30 mA.
El voltaje de entrada se calcula con un 50% mayor que el voltaje de salida.
Vi = Vo + 50%Vo = 12 + 0.50*12 = 12 + 6 = 18V
Para una variación del 10% de Vi,
Vimax = Vi + 10%Vi = 18 + 0.10*18 = 18 + 1.8 = 19.8V
Vimin = Vi - 10%Vi = 18 - 0.10Vi = 18 - 1.8 = 16.2V
Selección del transistor:
VCE max = Vimax - Vo = 19.8 - 12 = 7.8V
Icmax = Io = 30 mA
Pmax = Icmax * VCEmax = 30 mA * 7.8V = 234 mW
El transistor BC547 soporta hast 100 mA y tiene una Pmax de 500 mW, entonces sirve.
este transistor es de silicio, entonces, VBE = 0.7V
Selección del zener:
Vo = Vz - VBE, despejando, Vz = Vo + VBE = 12 + 0.7 = 12.7V
Si Iz = 5 mA, entonces, la potencia del zener debe ser de,
Pz = Vz * Iz = 12.7 * 5 mA = 63.5 mW
Se escoge un zener de 12.7 V y 500 mW
Cálculo de R:
Ir = Iz + IB
El voltaje de compensación en este circuito es el voltaje de colector emisor del transistor. Al variar Vi varía VBE
VCE max = Vimax - Vo = 19.8 - 12 = 7.8
VCE min = Vimin - Vo = 16.2 - 12 = 4.2
Como Ic = Io es constante, entonces al aumentar VCE disminuye IB y al disminuir VCE aumneta IB. Simulando la polarización fija del transistor se obtiene que para:
Ic = Io = 30 mA
VCEmax = 7.8 RC = (VCC - VCE) / Ic = (12 - 7.8) / 30 mA = 140 ohm
RB = 113 K, IB = 99.6 uA
VCEmin = 4.2 RC = (VCC - VCE) / Ic = (12 - 4.2) / 30 mA = 260 ohm
RB = 107 K, IB = 105.2 uA
Nótese que la corriente de base varía muy poco y es aproximadamente igual a 0.1 mA que es muy inferior a Iz = 5 mA
Rmax = (Vi max - Vz) / (Iz + IB) = (19.8 - 12.7) / (5 + 0.1) = 1.39K
Rmin = (Vi min - Vz) / (Iz + IB) = (16.2 - 12.7) / (5 + 0.1) = 0.69K
Se puede escoger una resistencia R = 1K
FUENTE REGULADA INTEGRADA
Los circuitos integrados son circuitos que integran en un solo componente varios elementos como resistencias, condensadores, diodos y transistores. Existe en el comercio circuitos integrados que internamente tienen el compensador y regulador integrados y además otros circuitos como protección de estos elementos a sobrecarga de corriente y protección térmica. Esots circuitos son de la familia L78XX, donde XX corresponde al valor del voltaje regulado a la salida.
Existen entonces, L7805, L7812, etc. en general reguladores para voltajes de 5, 6, 8 12, 15, 18, 20, 24V, estos integrados son para máximo de 1 A
EJEMPLO
En el siguiente circuito se tiene una fuente regulada para 6V
